Locus Of Complex Numbers

Locus Of Complex Numbers. X2 T01 11 locus & complex numbers 2 In this section let us study the geometrical interpretation of complex number z in complex plane and the locus of z in Cartesian form Hence, the complex number which represents the vector from ๐ต to ๐ด is given by 2 (โˆ’ ๐‘ + ๐‘)

Standard form Operations The Cartesian Plane Modulus and Arguments ppt download
Standard form Operations The Cartesian Plane Modulus and Arguments ppt download from slideplayer.com

Question : Obtain the Cartesian form of the locus of z = x + iy in each of the following cases: (i) [Re (iz)] 2 = 3. Since the value of y is 0, we have shown that locus z is real axis

Standard form Operations The Cartesian Plane Modulus and Arguments ppt download

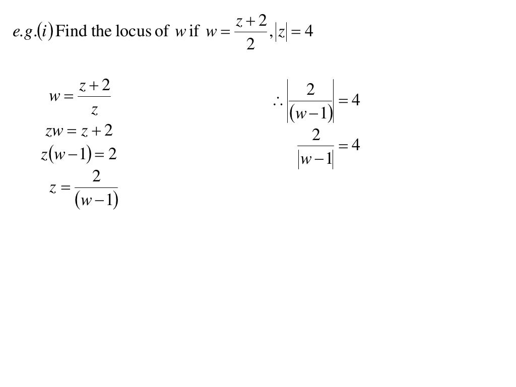
What is Complex Loci? The locus of a complex number is the rule imposed on a set of numbers The locus of Complex Numbers is obtained by letting ( z = x+yi ) and simplifying the expressions The complex number that represents the vector from ๐ต to ๐ถ, can be written as โˆ’ ๐‘ + ๐‘

Sketching the locus of a complex number in Argand plane YouTube. What is Complex Loci? The locus of a complex number is the rule imposed on a set of numbers To find the locus of a complex number, first we have to replace z by the complex number x + iy and simplify

X2 T01 12 locus & complex numbers 3. the locus of is a circle of radius 10, centred at the origin, as every complex number on that circle has a modulus of 10 Since the value of y is 0, we have shown that locus z is real axis